![]() |
101 bài tập khảo sát có hướng dẫn giải chi tiết (Phần thứ nhất Các bài toán liên quan đến cực đại cực tiểu) |
Mr DUO here: Shar Loans together pleaase!
-------------------------------------------------------------------------
http://loans.soidiemchontruong.net/:Loans: Loans Studensin USA,Loans Cars in USA,Loans All
Click Here
Click here
Lĩnh vực: Toán học
Phạm vi: Toán học lớp 12.
Áp dụng: Dành cho ôn thi tốt nghiệp THPT môn Toán, ôn thi đại học, cao đẳng môn toán, ôn thi HSC môn toán.
Giới thiệu
Khảo sát hàm số và các bài toán liên quan đến hàm số như: Chiều biến thiên, cực trị, tiếp tuyến .. là một phần không thể thiếu trong các đề thi TN THPT môn toán, thi ĐHCĐ môn toán. Bài khảo sát thường ở Câu 1 trong đề thi môn toán và chiếm từ 2-3 điểm trong tổng số 10 điểm.
Dưới đây là 101 bài toán khảo sát hàm số và các vấn đề liên quan có đáp án và hướng dẫn giải chi tiết.
Phần I. Các bài toán liên quan đến cực đại - cực tiểu
(Tu bai 1 - den bai 20)
Bài 1. Tìm m để hàm bậc 3 sau có đường thẳng đi qua cực đại, cực tiểu vuông góc với đường thẳng y = 3x-7(Tu bai 1 - den bai 20)
Xem giải chi tiết Bài 1.
Để xem giải chi tiết bài 1 trên điện thoại, soạn tin HS 10000 gửi 8785
Để xem giải chi tiết bài 1 trên máy tính Tải tại đây
------------------------------------------------------------------------------------
Bài 2: Tìm m để hàm bậc 3 sau có cực trị, đồng thời đường thẳng đi qua 2 điểm cực trị của đồ thị hàm số tạo với 2 trục tọa độ một tam giác cân:
Xem giải chi tiết bài 2.
Để xem giải chi tiết bài 2 trên điện thoại, soạn tin HS 10001 gửi 8785
Để xem giải chi tiết bài 2 trên máy tính: Tải tại đây
------------------------------------------------------------------------------------
Bài 3: Tìm m để hàm bậc 3 sau có đường thẳng đi qua CĐ, CT tạo với y một góc 45°
Xem giải chi tiết bài 3.
Để xem giải chi tiết bài 3 trên điện thoại, soạn tin HS 10002 gửi 8785
Để xem giải chi tiết bài 3 trên máy tính: Tải tại đây. (Link dự phòng)
------------------------------------------------------------------------------------
Bài 4:Tìm m để đường thẳng qua CĐ, CT của dồ thị hàm bậc 3 sau cắt đường tròn tâm I(1;1) bán kính bằng 1 tại A,A mà diện tích tam giác IAB lớn nhất.
Xem giải chi tiết bài 4.
Để xem giải chi tiết bài 4 trên điện thoại, soạn tin HS 10003 gửi 8785
Để xem giải chi tiết bài 4 trên máy tính: Tải tại đây. (Link dự phòng)
------------------------------------------------------------------------------------
Bài 5: Tìm các giá trị của m để đồ thị hàm số sau có 2 điểm cực trị A,B sao cho tam giác IAB có diện tích bằng căn bậc 2 của 18, trong đó I(1,1)
Xem giải chi tiết bài 5.
Để xem giải chi tiết bài 5 trên điện thoại, soạn tin HS 10004 gửi 8785
Để xem giải chi tiết bài 5 trên máy tính: Tải tại đây. (Link dự phòng)
------------------------------------------------------------------------------------
Bài 6: Tìm m để hàm bậc 3 sau có CĐ và CT đối xứng nhau qua y:
Xem giải chi tiết bài 6.
Để xem giải chi tiết bài 6 trên điện thoại, soạn tin HS 10005 gửi 8785
Để xem giải chi tiết bài 6 trên máy tính: Tải tại đây. (Link dự phòng)
------------------------------------------------------------------------------------
Bài 7: Tìm m để hàm số (Cm) có CĐ và CT, đồng thời các điểm cực trị của đồ thị hàm số cách đều đường thẳng d:
Xem giải chi tiết bài 7.
Để xem giải chi tiết bài 7 trên điện thoại, soạn tin HS 10006 gửi 8785
Để xem giải chi tiết bài 7 trên máy tính: Tải tại đây. (Link dự phòng)
------------------------------------------------------------------------------------
Bài 8: Tìm m để hàm bậc 3 sau có khoảng cách giữa các điểm CĐ, CT là nhỏ nhất:
Xem giải chi tiết bài 8.
Để xem giải chi tiết bài 8 trên điện thoại, soạn tin HS 10007 gửi 8785
Để xem giải chi tiết bài 8 trên máy tính: Tải tại đây. (Link dự phòng)
------------------------------------------------------------------------------------
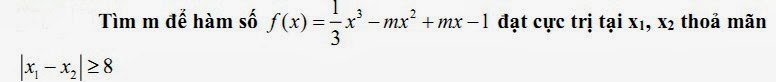
Bài 9: Tìm m để hàm bậc 3 sau đạt cực trị tại x1, x2 thỏa mãn điều kiện:
Xem giải chi tiết bài 9.
Để xem giải chi tiết bài 9 trên điện thoại, soạn tin HS 10008 gửi 8785
Để xem giải chi tiết bài 9 trên máy tính: Tải tại đây. (Link dự phòng)
------------------------------------------------------------------------------------
Bài 10: Tìm m để hàm bậc 3 sau có cực đại cực tiểu và khoảng cách từ điểm I đến đường thẳng nối CĐ, CT là lớn nhất
Xem giải chi tiết bài 10.
Để xem giải chi tiết bài 10 trên điện thoại, soạn tin HS 10009 gửi 8785
Để xem giải chi tiết bài 10 trên máy tính: Tải tại đây. (Link dự phòng)
------------------------------------------------------------------------------------
Bài 11: Tìm m để hàm bậc 3 sau có hai cực trị là A, B cùng với gốc O tạo thành tam giác vuông tại O
Xem giải chi tiết bài 11.
Để xem giải chi tiết bài 11 trên điện thoại, soạn tin HS 10010 gửi 8785
Để xem giải chi tiết bài 11 trên máy tính: Tải tại đây. (Link dự phòng)
------------------------------------------------------------------------------------
Bài 12: Tìm các giá trị của m để hàm bậc 3 sau có cực đại x1, cực tiểu x2 đồng thời x1, x2 là độ dài các cạnh góc vuông của 1 tam giác vuông có độ dài cạnh huyền bằng căn bậc hai của 5/2:
Xem giải chi tiết bài 12.
Để xem giải chi tiết bài 12 trên điện thoại, soạn tin HS 10011 gửi 8785
Để xem giải chi tiết bài 12 trên máy tính: Tải tại đây. (Link dự phòng)
------------------------------------------------------------------------------------Để xem giải chi tiết bài 12 trên điện thoại, soạn tin HS 10011 gửi 8785
Để xem giải chi tiết bài 12 trên máy tính: Tải tại đây. (Link dự phòng)
Bài 13: Tìm m để f(x) có CĐ, CT lập thành tam giác đều:
Xem giải chi tiết bài 13.
Để xem giải chi tiết bài 13 trên điện thoại, soạn tin HS 10012 gửi 8785
Để xem giải chi tiết bài 13 trên máy tính: Tải tại đây. (Link dự phòng)
------------------------------------------------------------------------------------Để xem giải chi tiết bài 13 trên điện thoại, soạn tin HS 10012 gửi 8785
Để xem giải chi tiết bài 13 trên máy tính: Tải tại đây. (Link dự phòng)
Bài 14: Tìm m để hàm số có 3 cực trị tạo thành 1 tam giác có diện tích bằng 1:
Xem giải chi tiết bài 14.
Để xem giải chi tiết bài 14 trên điện thoại, soạn tin HS 10013 gửi 8785
Để xem giải chi tiết bài 14 trên máy tính: Tải tại đây. (Link dự phòng)
------------------------------------------------------------------------------------Để xem giải chi tiết bài 14 trên điện thoại, soạn tin HS 10013 gửi 8785
Để xem giải chi tiết bài 14 trên máy tính: Tải tại đây. (Link dự phòng)
Bài 15: Tìm m để hàm bậc 4 sau có 3 điểm cực trị và 3 điểm này tạo thành 1 tam giác có diện tích lớn nhất:
Xem giải chi tiết bài 15.
Để xem giải chi tiết bài 15 trên điện thoại, soạn tin HS 10014 gửi 8785
Để xem giải chi tiết bài 15 trên máy tính: Tải tại đây. (Link dự phòng)
------------------------------------------------------------------------------------Để xem giải chi tiết bài 15 trên điện thoại, soạn tin HS 10014 gửi 8785
Để xem giải chi tiết bài 15 trên máy tính: Tải tại đây. (Link dự phòng)
Bài 16: Tìm tất cả các giác trị của tham số m để đồ thị (Cm) có 3 điểm cực trị tạo thành 1 tam giác có đường tròn ngoại tiếp đi qua điểm D:
Xem giải chi tiết bài 16.
Để xem giải chi tiết bài 16 trên điện thoại, soạn tin HS 10015 gửi 8785
Để xem giải chi tiết bài 16 trên máy tính: Tải tại đây. (Link dự phòng)
------------------------------------------------------------------------------------Để xem giải chi tiết bài 16 trên điện thoại, soạn tin HS 10015 gửi 8785
Để xem giải chi tiết bài 16 trên máy tính: Tải tại đây. (Link dự phòng)
Bài 17: Viết phương trình tiếp tuyến của đồ thị (H) biết tiếp tuyến cách đều hai điểm A (2;4), B (-4;-2):
Xem giải chi tiết bài 17.
Để xem giải chi tiết bài 17 trên điện thoại, soạn tin HS 10016 gửi 8785
Để xem giải chi tiết bài 17 trên máy tính: Tải tại đây. (Link dự phòng)
------------------------------------------------------------------------------------Để xem giải chi tiết bài 17 trên điện thoại, soạn tin HS 10016 gửi 8785
Để xem giải chi tiết bài 17 trên máy tính: Tải tại đây. (Link dự phòng)
Bài 18: Tìm trên đồ thị (C) 2 điểm A và B sao cho AB có bằng căn bậc hai của 8, tiếp tuyến của đồ thị (C) tại A và B song song với nhau:
Xem giải chi tiết bài 18.
Để xem giải chi tiết bài 18 trên điện thoại, soạn tin HS 10017 gửi 8785
Để xem giải chi tiết bài 18 trên máy tính: Tải tại đây. (Link dự phòng)
------------------------------------------------------------------------------------Để xem giải chi tiết bài 18 trên điện thoại, soạn tin HS 10017 gửi 8785
Để xem giải chi tiết bài 18 trên máy tính: Tải tại đây. (Link dự phòng)
Bài 19: Tìm m để tiếp tuyến tại giao điểm của (Cm) với trục Ox song song với đường thẳng (d):
Xem giải chi tiết bài 19.
Để xem giải chi tiết bài 19 trên điện thoại, soạn tin HS 10018 gửi 8785
Để xem giải chi tiết bài 19 trên máy tính: Tải tại đây. (Link dự phòng)
------------------------------------------------------------------------------------Để xem giải chi tiết bài 19 trên điện thoại, soạn tin HS 10018 gửi 8785
Để xem giải chi tiết bài 19 trên máy tính: Tải tại đây. (Link dự phòng)
Bài 20: Tìm trên (C) các điểm A,B phân biệt sao cho các tiếp tuyến với (C) tại A,B có cùng hệ số góc đồng thời đường thẳng đi qua A và B vuông góc với đường thẳng d :
Xem giải chi tiết bài 20.
Để xem giải chi tiết bài 20 trên điện thoại, soạn tin HS 10019 gửi 8785
Để xem giải chi tiết bài 20 trên máy tính: Tải tại đây. (Link dự phòng)
------------------------------------------------------------------------------------Để xem giải chi tiết bài 20 trên điện thoại, soạn tin HS 10019 gửi 8785
Để xem giải chi tiết bài 20 trên máy tính: Tải tại đây. (Link dự phòng)
(Xem tiep tu bai 21 den bai 40 tai day)
Câu trả lời và lời giải mang tính tham khảo Schoolnetvn - Học trên mobile
-------------------------------------------------------------------------
Loans: Loans -Loans Studensin USA,Loans Cars in USA,Loans All
Loans Studensin USA,Loans Cars in USA,Loans All
Click here
















